发布日期:2026-02-26 12:41点击次数:


澳洲外侨局近期,公布25-26财年澳洲孤独工夫外侨189邀请上限数据(Occupation Ceiling)。
凭证外侨局提供的信息,当今的邀请管事详确诀别为4个层级,有不同的配额上限设定比例:Tier 1(4%)、Tier 2(2%)、Tier 3(1%)、Tier 4(0.5%)。
凭证终末一列 Remaining places for PY25/26,25-26财年189邀请该职位的配额上限数据如下:
189配额上限完好数据





从公布的数据不错看出,顾问仍是澳洲当今最为紧缺的管事,189配额剩尾数目高达10,390个 ;另外老师类岗亭,如中教2,837个,幼教1,027个,契机也不少。
成立和施工领域联系的管事,尤其是工夫工东说念主岗亭,亦然澳洲比拟紧缺的的,举例木匠和细木匠908个, 瓷砖工363个,亚博app成立师和景不雅成立师221个,土木匠程绘制员和工夫员130个。
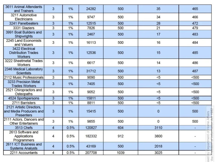
以下管事组(ANZSCO 前四位一致,图五)是0配额,表面上25-26财年不会发任何邀请 :
2332 Civil Engineering Professionals 土木匠程师 ;
2339 Other Engineering Professionals 其他工程师;
2333 Electrical Engineers 电气工程师;
3212 Motor Mechanics 汽修技师;
{jz:field.toptypename/}3513 Chefs 大厨;
2613 Software and Applications Programmers 软件和运用表率员;
2611 ICT Business and Systems Analysts 业务和系统分析师;
2211 Accountants 司帐;
2631 Computer Network Professionals 计划机齐集群众;
2212 Auditors, Company Secretaries and Corporate Treasurers 审计、公司布告及公司财务把持;

由于本财年联邦如故大量披发两次189邀请,当今配额剩余有限,积压数据也比拟健康。
如若再披发一次新的邀请,数目不会太多,配额多的管事还不错期待,如若我方岗亭的配额告急,提出沟通190或491签证作念备案。
需要详确的是,该战略率领的扩充取决于骨子操作情况、联系部长领导以及澳大利亚政府的其他优先事项。
虽然,澳洲外侨的决议不唯一打分制工夫外侨,肯求东说念主应该凭证我方的岗亭、分数情况以及全体竞争环境进行策动,敬佩性更高的北领地MINT表情和老板担保亦然不错沟通的。
